https://webassign.org

 Forgot password?
 Register Now
View: 444|Reply: 0

gc textbook chapter 8 Rotational Motion (id: a6ca3fb6b)

[Copy link]

0

Threads

3

Posts

836

Credits

Administrator

Rank: 9Rank: 9Rank: 9

Credits
836
Post time 2025-2-18 20:00:22 | Show all posts |Read mode
本题目来源于试卷: gc textbook chapter 8 Rotational Motion,类别为 unclassified

[填空题]
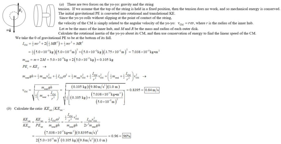
(a) A yo-yo is made of bas4(/ (bv ynal f -z )mq,6y+sbdk0cgtwo solid cylindrical disks, gln6qsb 3d71u7qz 2(r g +vq9jcd.ozr each of mass 0.050 kg and diameter 0.075 m, joined by a (concentric) thin solid cylindrical hub of mass 0.0050 kg and diameter 0.010 m. Use conservation of r3oq+7q(srjv.2z9gb dngz 1qc du 67lenergy to calculate the linear speed of the yo-yo when it reaches the end of its 1.0-m-long string, if it is released from rest.    $m/s$
(b) What fraction of its kinetic energy is rotational?    %




参考答案:
空格1: 0.84±2%空格2: 96±2%


本题详细解析:
Reply

Use magic Report

You have to log in before you can reply Login | Register Now

Points Rules

Mobile Homepage|Jailroom|https://webassign.org

2025-11-1 22:00 GMT+8 , Processed in 0.027892 second(s), 17 queries , Redis On.

Search
Quick Reply To Top Return to the list